スメクチック磁束液晶におけるマグナス力支配型の渦ダイナミクスを実証
~超伝導を“トポロジカル流体”として捉える新視点~

ポイント

概要

北海道大学大学院理学研究院の延兼啓純助教、同大学大学院理学院の髙橋杏介氏(研究当時)、同大学大学院理学研究院の松永悟明准教授、日本原子力研究開発機構原子力科学研究所先端基礎研究センター(研究開始時:東北大学金属材料研究所)の木俣 基研究副主幹、北海道大学丹田 聡名誉教授らの研究グループは、超伝導*1体中に形成される「スメクチック磁束液晶*2」において、 トポロジカル欠陥「スメクチック・ディスロケーション渦*3」の運動を初めて捉え、流体力学的なマグナス力*4が支配する新しい磁束渦ダイナミクスの観測に成功しました。

超伝導体に磁場を加えると、内部には磁束と呼ばれる糸状の量子渦*5が侵入します。通常、この磁束は比較的剛直な線として振る舞い、電流を流すと電磁気学的なローレンツ力*6によって動く「磁束フロー」が生じます。一方、磁束の周囲には超伝導電流が循環しているため、流体中の渦と同様に流体力学的なマグナス力が働く可能性が理論的に指摘されてきましたが、その寄与を実験的に明確に示すことは困難でした。

本研究では、磁束が液晶のように層状に並ぶスメクチック磁束液晶状態において、磁束の再結合によって生成されるトポロジカル欠陥「スメクチック・ディスロケーション渦」がラメラ層*7構造に沿って運動することを見いだしました。この欠陥渦は一次元的なラメラ層に拘束されるため、渦に働くマグナス力の効果が顕著となり、従来のローレンツ力だけでは説明できない特異なホール応答として観測されました。本成果は、超伝導体をトポロジカル欠陥が支配する流体として理解する新しい物理像を提示するとともに、渦ダイナミクスの制御に基づく新しい量子輸送現象の開拓につながることが期待されます。

なお、本研究成果は、2026年3月25日(水)公開のPhysical Review Letters誌に掲載されました。

ローレンツ力駆動による磁束フロー(左)と
マグナス力駆動によるスメクチック・ディスロケーション渦のダイナミクス(右)。

【背景】

超伝導体は、電気抵抗がゼロになる特別な量子状態です。磁場を加えると、超伝導体内部に「磁束」と呼ばれる細い糸状の構造が侵入します。この磁束は、周囲を超伝導電流が渦状に循環するトポロジカルな量子渦です。通常の超伝導体では、磁束はピンと張ったロープのように比較的剛直な線として振る舞います。電流を流すと、磁束は電流と磁場によって生じるローレンツ力を受けて動きます。磁束が動くとエネルギー散逸が生じ、本来ゼロ抵抗である超伝導体に電気抵抗が現れます。この「磁束フロー」は超伝導物理の中心課題として、長年にわたり精力的に研究されてきました。

一方、磁束の周囲では超伝導電流が循環しているため、超流動中の渦と同様に流体力学的なマグナス

力が働く可能性が理論的に指摘されてきました。マグナス力は、野球の変化球を曲げる力として知られる横方向の力です。しかし通常の磁束状態では、ローレンツ力や散逸的な抵抗力の影響が支配的であり、マグナス力の寄与を実験的に明確に実証することは困難でした。これに対して近年、私たちは磁束が層状に並び、液晶のような秩序を示す「スメクチック磁束液晶」状態を発見しました。この状態では磁束はロープのように張り詰めるのではなく、より柔軟で変形しやすい構造を持つため、隣り合う磁束同士がつなぎ替わる再結合(リコネクション)が起こりやすくなります。その結果、磁束が隣の層へホップしてキンクが生じ、ラメラ層方向に運動するトポロジカル欠陥渦(スメクチック・ディスロケーション渦)が形成されます。本研究では、この強い異方性と欠陥構造を利用し、電流と磁場の方向を精密に制御することで、マグナス力が優勢となる新しい磁束渦ダイナミクスを明らかにしました。

【研究手法】

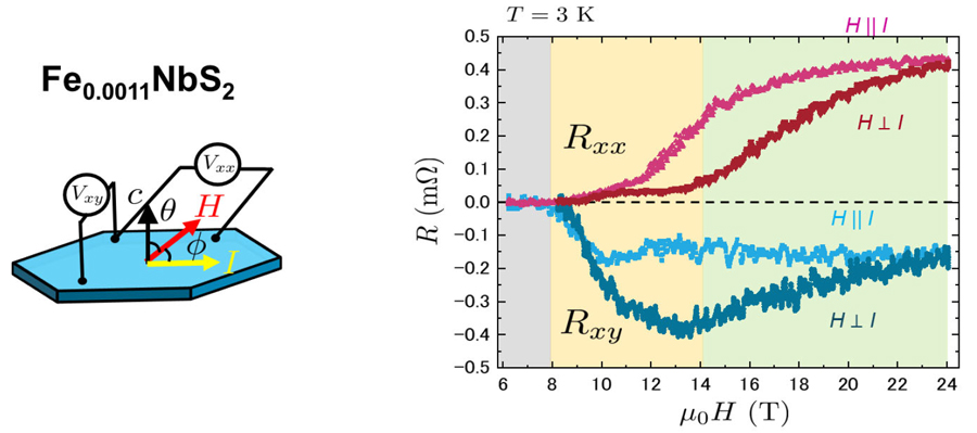
本研究では、少量の鉄(Fe)をドープしたNbS₂超伝導体を用いました。二次元伝導面に平行な磁場を印加することで、磁束が層状に配列するスメクチック磁束液晶状態を実現しました。この状態で電流と磁場の方向を精密に制御し、電流方向に生じる電圧(縦抵抗Rxx)と、それに直交する方向の電圧(ホール抵抗Rxy)を高精度に同時測定しました。これらの電圧信号は磁束の運動を直接反映するため、渦ダイナミクスやマグナス力の寄与を検出する手がかりとなります。主要な実験は、東北大学金属材料研究所・強磁場施設の25テスラ超伝導マグネットを用いて行いました。

【研究成果】

測定の結果、スメクチック磁束液晶状態において、従来のローレンツ力による磁束フローだけでは説明できない顕著なホール応答が現れることを見いだしました(図1)。特に、磁束配列の異方性が強く発達した条件ではホール方向の応答が大きく増大し、ローレンツ力よりも流体力学的なマグナス力の寄与が優勢となる領域が存在することを実験的に明らかにしました。

通常、磁束は比較的剛直な「ロープ」のように振る舞うため、電流によって生じるローレンツ力に支配された磁束フローとして理解されます。しかしスメクチック磁束液晶状態では磁束構造が柔軟化し、隣り合う磁束との再結合が容易に起こります。その結果、スメクチック磁束のつなぎ目によって形成されるラメラ層に沿って運動するトポロジカル欠陥「スメクチック・ディスロケーション渦」が生成されます。このディスロケーション渦は一次元的なラメラ層に拘束され、その方向に沿って運動するという特徴を持ちます。この幾何学的拘束により、渦に働くマグナス力の効果が顕著に現れ、電流方向に平行な成分を持つ特異な渦運動が誘起されます(図2)。これは従来の磁束フローでは想定されていない、トポロジカル欠陥によって媒介される集団ダイナミクスです。

本研究は、電磁気学的なローレンツ力と流体力学的なマグナス力が競合する新しい渦運動の領域を実験的に示した初めての成果であり、超伝導体を「トポロジカル欠陥が支配する流体」として理解する新しい物理像を提示するものです。

図1. RxxとRxyの磁場依存性。8-14テスラの磁場領域において顕著なホール応答(Rxy > Rxx)を発見。

図2. マグナス力が支配的なスメクチック・ディスロケーション渦ダイナミクスの概略図。

【今後への期待】

本研究は、超伝導体中の磁束を単なる「磁束線の集まり」としてではなく、トポロジカル欠陥が集団的に運動する流体として捉える新しい視点を提示するものです。スメクチック磁束液晶という特殊な秩序状態を利用することで、これまで観測が難しかったマグナス力に支配された渦ダイナミクスを実験的に示しました。今後、このようなスメクチック・ディスロケーション渦媒介型のダイナミクスの理解が進むことで、非平衡量子流体の新しい物理の開拓や、磁束運動を制御する超伝導デバイスへの応用へと発展することが期待されます。

【謝辞】

本研究はJSPS科研費JP25H00595、JP23K22447、JP24K21522、JP23KK0052、JP23H04014、JP23H04868、JP22H00109、JP22H04933の助成を受けたものです。また本研究は、東北大学金属材料研究所付属強磁場超伝導材料研究センターにおける共同利用(課題番号No. 202312-HMKPA-0014, No. 202212-HMKPA-0048, and No. 202112-HMKPA-0017)として実施され、池谷科学技術振興財団の支援を受けて行われました。

論文情報

論文名 Magnus-driven Hall transport in a smectic vortex state(スメクチック磁束状態におけるマグナス力駆動のホール輸送)

著者名 延兼啓純1、3、髙橋杏介2(研究当時)、松永悟明1、木俣 基4、5(研究当時)、丹田 聡3、6、7、81北海道大学大学院理学研究院、2北海道大学大学院理学院、3北海道大学量子トポロジー理工学教育研究センター、4日本原子力研究開発機構、5東北大学金属材料研究所、6北海道大学大学院工学研究院、7北海道大学電子科学研究所、8北海道大学名誉教授)

雑誌名 Physical Review Letters(物理学の専門誌)

DOI 10.1103/dm7v-jk3b

公表日 2026年3月25日(水)(オンライン公開)

【用語解説】

*1 超伝導 …

物質を低温まで冷やすと、電気抵抗が完全にゼロになる現象。電流がエネルギー損失なく流れるため、省エネルギー低次元電子デバイスや量子コンピュータなどへの応用が期待されている。

*2 スメクチック磁束液晶 …

磁束が層状に並び、液晶のような秩序を示す状態。磁束は完全な結晶のように固定されるのではなく、層に沿って比較的自由に動くことができるため、独特のダイナミクスが現れる。

*3 スメクチック・ディスロケーション渦 …

スメクチック磁束液晶の層構造の欠陥として生じる特別な磁束渦。層のつなぎ目に沿って運動するトポロジカル欠陥であり、本研究ではこの欠陥渦の運動が重要な役割を果たすことが示された。

*4 マグナス力 …

流体中で回転する渦に働く横向きの力。野球のカーブやサッカーボールの変化球を曲げる力として知られる。超伝導体の磁束にも同様の力が働く可能性が指摘されてきた。

*5 量子渦(磁束) …

超伝導体に磁場を加えると、磁場は一様には侵入できず、「量子化された磁束の束(磁束量子)」として細い糸状の構造を作る。この磁束の周囲では超伝導電流が渦状に循環しており、「量子渦」とも呼ばれる。磁束が動くと電圧が発生するため、磁束の運動は超伝導体の電気特性を決める重要な要素である。

*6 ローレンツ力 …

電流と磁場が存在するときに働く電磁気学的な力。超伝導体では、この力によって磁束が動かされることが知られており、磁束フローによる電気抵抗の原因となる。

*7 ラメラ層 …

層状に規則正しく並んだ構造のこと。液晶の一種であるスメクチック液晶では、分子や構造体が平行なシート(層)を形成し、何層も積み重なった状態になる。この層構造をラメラ層と呼ぶ。

戻る